您的当前位置:有机肥设备厂家 > 新闻中心 > 产品知识 > 烘干机的选型计算
发布时间:2020-08-21 14:32:22来源:有机肥设备作者:双鑫机械阅读:146次
欢迎点击在线咨询获取优惠报价,我们会安排专人接待您进行实地考察。
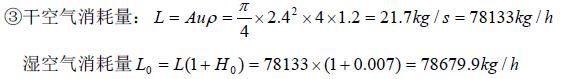
导读回转式烘干机的选型计算:目标煤矸石处理量13.889 t/h,设计计算时取14000 kg/h。 烘干操作单元 1、设备 选用规格为直径2.4mX15m的回转烘干机,将煤矸石的含水率由17.42%烘干至1%。预热器将温度为20℃,湿度为0.007 干气kg / kg 的空气加热到 210℃后通入干燥器中,风速设为4 m/s,废气出口温度设为130℃。20℃的湿物料以14000 kg/h 速率进入干燥器,出口温度为120℃。 2、计算 (1)物料衡算
回转式烘干机的选型计算:目标煤矸石处理量13.889 t/h,设计计算时取14000 kg/h。
烘干操作单元
1、设备
选用规格为直径2.4mX15m的回转烘干机,将煤矸石的含水率由17.42%烘干至1%。预热器将温度为20℃,湿度为0.007 干气kg / kg 的空气加热到 210℃后通入干燥器中,风速设为4 m/s,废气出口温度设为130℃。20℃的湿物料以14000 kg/h 速率进入干燥器,出口温度为120℃。
2、计算
(1)物料衡算
①烘干机生产能力:

式中:Q——烘干机生产能力(含终水分),kg水 /(m³.h) ;
A0——烘干机水分蒸发强度(设计指标),kg水 /(m³.h) ;
W1,W2——物料被烘干前后的含水率,%。
查得该规格回转烘干机单位容积蒸发强度 35.968KG/(m³.h3 )

说明1台规格为2.4m×15m的回转烘干机即可满足设计处理要求。

式中:W——烘干蒸发量,kg水/h;
GH1——烘干前湿物料量,kg/h;


(2)能量衡算

设干燥器中不再补加能量,忽略预热器中的热量损失,则预热器中加入的能量用于以下方面:
①加热空气:Q1=L(1.01+1.88H0)(t2-t0)=78679.9÷3600×(1.01+1.88×0.007)×(130-20)=1788.92kW;
②蒸发水分:

![]()
![]()
在线留言配置1-50万吨有机肥生产线设备?来这里获取价格。